Logistic Regression

Goals of the lecture

  • Classification: dealing with categorical outcomes.
  • Logistic regression.
    • Why not linear regression?
    • Generalized linear models (GLMs).
    • Odds and log-odds.
    • The logistic function.
  • Building and interpreting logistic models with glm.

What is classification?

“To classify is human…We sort dirty dishes from clean, white laundry from colorfast, important email to be answered from e-junk…. Any part of the home, school, or workplace reveals some such system of classification.”

— Bowker & Star, 2000

  • Classification = predicting a categorical response variable using features
  • Common examples:
    • Is an email spam or not spam?
    • Is a cell mass cancerous or not cancerous?
    • Will this customer buy or not buy?
    • Is a credit card transaction fraudulent?
    • Is this image a cat, dog, person, or other?

Binary vs. multi-class classification

  • Binary classification: sorting inputs into one of two labels
    • E.g., spam vs. not spam
  • Multi-class classification: more than two labels
    • E.g., face recognition with n possible identities
    • E.g., image classification (cat, dog, person, other)
  • Today: focus on binary classification with logistic regression

Part 1: Foundations of logistic regression

Motivation, log-odds, and the logistic function.

Example dataset: Email spam

### Loading the tidyverse
library(tidyverse)

df_spam = read_csv("https://raw.githubusercontent.com/seantrott/ucsd_css211_datasets/main/main/logistic/spam.csv")
nrow(df_spam)
[1] 3921

Why not linear regression?

  • spam is coded as 0 (no) or 1 (yes)
  • Could we treat this as continuous and use linear regression?
  • Interpret prediction \(\hat{y}\) as probability of outcome?

💭 Check-in

What issues might arise here?

The problem: predictions beyond [0,1]

ggplot(df_spam, aes(x = num_char, y = spam)) +
  geom_point(alpha = 0.3) +
  geom_smooth(method = "lm", se = FALSE) +
  labs(x = "Number of characters",
       y = "Spam (0 = no, 1 = yes)") +
  theme_minimal()

Linear model generates predictions outside [0,1], but probability must be bounded!

Framing the problem probabilistically

  • Treat each outcome as Bernoulli trials: “success” (spam) vs. “failure” (not spam)
  • Each observation has independent probability of success: \(p\)
  • On its own: \(p\) = proportion of spam emails
  • Goal: model \(p\) conditioned on other variables, i.e., \(P(Y = 1 | X)\)

Question: What does \(p\) on its own remind you of from linear regression?

Answer: The intercept-only model (the mean of \(Y\))

Generalized linear models (GLMs)

Generalized linear models (GLMs) are generalizations of linear regression.

Each GLM has:

  1. A probability distribution for the outcome variable
  2. A linear model: \(\beta_0 + \beta_1 X_1 + ... + \beta_k X_k\)
  3. A link function relating the linear model to the outcome

We need a function that links our linear model to a probability score bounded at [0, 1].

Common GLMs

Model name Distribution Link function Use cases Example
Linear regression Normal Identity Continuous response Height, price
Logistic regression Bernoulli/Binomial Logit Binary response Spam, fraud
Poisson regression Poisson Log Count data # words, # visitors

Today: logistic regression

Introducing the odds

The odds of an event are the ratio of the probability of an event occuring (\(p\)) and the probability of event not occurring (\(1-p\)).

\[\text{Odds}(Y) = \frac{p}{1-p}\]

  • Unlike \(p\), odds are bounded at \([0, \infty)\)
  • Odds of 1 means 50/50 chance
  • Odds > 1 means more likely to occur than not
  • Odds < 1 means less likely to occur than not

Visualizing odds

p <- seq(0.01, 0.99, 0.01)
odds <- p / (1 - p)

ggplot(data.frame(p, odds), aes(x = p, y = odds)) +
  geom_point() +
  labs(x = "P(Y)", y = "Odds(Y)", 
       title = "Odds(Y) vs. P(Y)") +
  theme_minimal()

Introducing the log-odds (logit)

The log-odds is the log of the odds (the logit function).

\[\text{logit}(p) = \log\left(\frac{p}{1-p}\right)\]

  • Unlike \(p\), log-odds are bounded at \((-\infty, \infty)\)
  • This is what we’ll model linearly!

Visualizing log-odds

log_odds <- log(p / (1 - p))

ggplot(data.frame(p, log_odds), aes(x = p, y = log_odds)) +
  geom_point() +
  labs(x = "P(Y)", y = "Log-odds(Y)", 
       title = "Log-odds(Y) vs. P(Y)") +
  theme_minimal()

Interpreting the sign of log-odds

ggplot(data.frame(p, log_odds), aes(x = p, y = log_odds)) +
  geom_point() +
  geom_vline(xintercept = 0.5, linetype = "dotted", color = "red") +
  geom_hline(yintercept = 0, linetype = "dotted", color = "red") +
  labs(x = "P(Y)", y = "Log-odds(Y)") +
  theme_minimal()
  • Positive log-odds → \(p > 0.5\)
  • Negative log-odds → \(p < 0.5\)

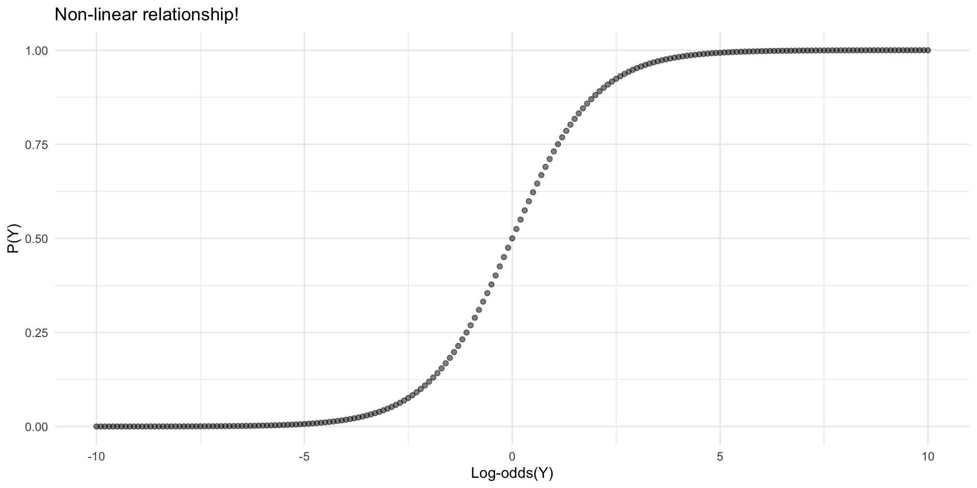
The logistic function

The logistic function is the inverse of the logit function.

\[P(Y) = \frac{e^{\text{logit}(p)}}{1 + e^{\text{logit}(p)}}\]

  • Converts log-odds back to probability
  • Maps \((-\infty, \infty)\) to \([0, 1]\)
  • Also called the sigmoid function

Mapping from log-odds to probability

log_odds_range <- seq(-10, 10, 0.1)
p_range <- exp(log_odds_range) / (1 + exp(log_odds_range))
ggplot(data.frame(log_odds_range, p_range), 
       aes(x = log_odds_range, y = p_range)) +
  geom_point(alpha = 0.5) +
  labs(x = "Log-odds(Y)", y = "P(Y)") +
  theme_minimal()

Where does regression come in?

With logistic regression, we learn parameters \(\beta\) for:

\[\log\left(\frac{p}{1-p}\right) = \beta_0 + \beta_1 X_1 + ... + \beta_k X_k\]

  • Our “dependent variable” is the log-odds (logit) of \(p\)
  • We learn a linear relationship between \(X\) and the log-odds of our outcome
  • NOT a linear relationship with probability itself!

Interpreting β: log-odds ~ X is linear

\[\log\left(\frac{p}{1-p}\right) = \beta_0 + \beta_1 X\]

  • If \(\beta_1 > 0\): For each 1-unit increase in \(X\), log-odds increase by \(\beta_1\)
  • If \(\beta_1 < 0\): For each 1-unit increase in \(X\), log-odds decrease by \(|\beta_1|\)
  • Straightforward linear interpretation for log-odds

Interpreting β: P(Y) ~ X is NOT linear

The mapping between log-odds and \(P(Y)\) is not linear.

We cannot interpret coefficients linearly with respect to \(P(Y)\)!

Part 2: Logistic regression in R

Using glm, interpreting logistic models.

Logistic regression in R

Use the glm() function with family = binomial:

model <- glm(y ~ x,  ### formula
             data = df_name,  ## dataframe name
             family = binomial(link = "logit")) ## using logit link
  • family = binomial: specifies we’re modeling binary outcomes
  • link = "logit": specifies the logit link function (default for binomial)
  • Fitting is straightforward—interpreting is the harder part!

Fitting a simple model

Let’s predict spam from num_char (message length):

mod_len <- glm(spam ~ num_char, 
               data = df_spam, 
               family = binomial)
summary(mod_len)

Call:
glm(formula = spam ~ num_char, family = binomial, data = df_spam)

Coefficients:
             Estimate Std. Error z value Pr(>|z|)    
(Intercept) -1.798738   0.071562 -25.135  < 2e-16 ***
num_char    -0.062071   0.008014  -7.746  9.5e-15 ***
---
Signif. codes:  0 '***' 0.001 '**' 0.01 '*' 0.05 '.' 0.1 ' ' 1

(Dispersion parameter for binomial family taken to be 1)

    Null deviance: 2437.2  on 3920  degrees of freedom
Residual deviance: 2346.4  on 3919  degrees of freedom
AIC: 2350.4

Number of Fisher Scoring iterations: 6

Interpreting the coefficients

coef(mod_len)
(Intercept)    num_char 
-1.79873764 -0.06207116 
  • Intercept (-1.80): log-odds of spam when num_char = 0
  • num_char (-0.06): for every 1-unit increase in num_char, log-odds of spam decrease by 0.06
  • Negative coefficient → longer emails are less likely to be spam

Converting log-odds to probability

What’s \(P(\text{spam})\) when num_char = 0?

# Log-odds (just the intercept)
log_odds <- coef(mod_len)[1]
log_odds
(Intercept) 
  -1.798738 
# Convert to probability
p <- exp(log_odds) / (1 + exp(log_odds))
p
(Intercept) 
  0.1420048 

About 14% chance of spam for a message with 0 characters.

Example: num_char = 100

What’s \(P(\text{spam})\) when num_char = 100?

# Calculate log-odds
log_odds <- coef(mod_len)[1] + coef(mod_len)[2] * 100
log_odds
(Intercept) 
  -8.005853 
# Convert to probability
p <- exp(log_odds) / (1 + exp(log_odds))
p
 (Intercept) 
0.0003333936 

Less than 0.1% chance—very unlikely to be spam!

Visualizing: log-odds vs. probability

X <- df_spam$num_char
lo <- coef(mod_len)[1] + coef(mod_len)[2] * X
p <- exp(lo) / (1 + exp(lo))

par(mfrow = c(1, 2))
plot(X, lo, xlab = "# Characters", ylab = "Log-odds(spam)")
plot(X, p, xlab = "# Characters", ylab = "P(spam)")

Linear on log-odds scale, non-linear on probability scale!

Categorical predictors

Let’s use winner (whether email contains the word “winner”):

mod_winner <- glm(spam ~ winner, 
                  data = df_spam, 
                  family = binomial)
summary(mod_winner)

Call:
glm(formula = spam ~ winner, family = binomial, data = df_spam)

Coefficients:
            Estimate Std. Error z value Pr(>|z|)    
(Intercept) -2.31405    0.05627 -41.121  < 2e-16 ***
winneryes    1.52559    0.27549   5.538 3.06e-08 ***
---
Signif. codes:  0 '***' 0.001 '**' 0.01 '*' 0.05 '.' 0.1 ' ' 1

(Dispersion parameter for binomial family taken to be 1)

    Null deviance: 2437.2  on 3920  degrees of freedom
Residual deviance: 2412.7  on 3919  degrees of freedom
AIC: 2416.7

Number of Fisher Scoring iterations: 5

Interpreting categorical predictors

coef(mod_winner)
(Intercept)   winneryes 
  -2.314047    1.525589 
  • Intercept (-2.31): log-odds of spam when winner = "no"
  • winneryes (1.53): change in log-odds (relative to intercept) when winner = "yes"
  • Just like linear regression: categorical predictors are relative to reference level

Probability for winner = “no”

# Log-odds (just intercept)
lo <- coef(mod_winner)[1]

# Convert to probability
p <- exp(lo) / (1 + exp(lo))
p
(Intercept) 
  0.0899663 

About 9% chance of spam without “winner”

Probability for winner = “yes”

# Log-odds (intercept + coefficient)
lo <- coef(mod_winner)[1] + coef(mod_winner)[2]

# Convert to probability
p <- exp(lo) / (1 + exp(lo))
p
(Intercept) 
     0.3125 

About 31% chance of spam with “winner”—much higher!

Generating predictions

The predict() function with type = "response" gives predicted \(P(Y)\):

predictions <- predict(mod_len, type = "response")

ggplot(df_spam, aes(x = num_char, y = predictions)) +
  geom_point(alpha = 0.3) +
  labs(x = "Number of characters",
       y = "Predicted P(spam)") +
  theme_minimal()

Summary

  • Many statistical modeling problems involve categorical response variables
  • Logistic regression for binary classification tasks
  • It’s a generalized linear model (GLM)
    • Predicts log-odds of \(P(Y)\) as a linear function of \(X\)
    • Log-odds converted to \(P(Y)\) using the logistic function
  • Interpretation:
    • Linear relationship with log-odds
    • Non-linear relationship with probability